STRATEGIC HUMAN RESOURCE PRACTICES TOWARDS INDUSTRY INNOVATION AND EMPLOYEE PERFORMANCE IN ORGANIZATION WITH SPECIAL REFERENCE TO EDUCATIONAL SECTOR
A. Vanitha
Department of Management Studies, Sri Chandrasekharendra Saraswathi Viswa Mahavidyalaya, India
10.21917/ijms.2018.0101
Abstract
Human Resource Management and development have become an essential strategic process at work places. After selecting the right individuals and to enhance their contribution at work places, human resource development practices need to be inducted. The HRD practices must be scanned towards the requirements of individual as well as the organization. The human resource management practices are viewed as strategic tool in education sector. The human resource deployment is the crucial instrument in educational industry. The intensity of innovation adopted by the teachers especially in teaching learning activities have an influence on their performance. This present article attempts to view the role of strategic human resource practices like training, empowerment and teamwork on teaching innovation and performance. In order to overview the conceptual framework, Structural Equation Model (SEM) has been employed through AMOS 17.0 version.
Keywords:Training, Empowerment, Teamwork, Innovation and Performance, Teaching - Learning Activities
1. INTRODUCTION
Strategic human resource management is an emerging avenue in modern organization. The principles and elements of human resource avenues from manpower planning to human monitoring and auditing are needed to be reframed according to situational environment [6]. The modus operandi of human resource practices involves cost and time and which is stimulated to bring the needy outcome. The avenues encompass in strategic human resource practices can be broadly classified into administrative and development focused. The strategic intervention of administrative HRM are routine and which highly rely on internal based wherein which the intervention of development HRM avenues [10] are influenced by external environment. In addition to that, the division of development oriented strategic processes stem from training [7], development, monitoring, counselling, compensation, empowerment, team management, grievance and disciplinary system are given importance significantly differ from organization to organization based on its nature of business. In this aspect, the avenues of development oriented strategic human resource practices like training and development, empowerment and team work are given profound outlook in service sector especially in higher education [2]. The influence of strategic human resource practices have a diversified influence like engagement, job satisfaction and employee commitment and innovation and employee performance. The tantamount of studies undertaken in the avenue of strategic human resource management practices [8], and its outcome on innovation and consecutively on employee performance in very negligible with respect to educational sector, the present study address the gap by viewing the role of strategic human resource practices on innovation and employee performance.
1.1 STATEMENT OF THE PROBLEM
Work force retention in current industry scenario has become a challenging task. The work force retention needs to be focused by organization for its growth and at the same time for employee development. The amount of employee performance is reckoned only by the continuity of innovation adopted by them at work places. But at the same time, the impediment of work force innovation is relying on effective human resource management practices at given situation. The proportion of human resource practices through its various tools is a form of strategy. The strategic combination human management tools differ across the industry. In this aspect, the strategic human resource practices in higher education sector towards its employee innovation and their effective performance with special reference to teaching fraternity focus on various human resource management tool. But majority of the studies focused on human resource administration, compensation and motivation tools, whereas less amount of studies have been viewed the aspects like training, performance appraisal, compensation, empowerment and team work towards innovation and employee performance.
2. REVIEW OF LITERATURE
Birdi et al. [5] closed in one of his papers that, the human asset is an extremely exceptional sort of asset. In the event that it is legitimately dealt with the hierarchical viability can be expanded. Chiefs can impact profitability by the sound use of HRM program. Training and development can enhance work execution or redress inadequacies in aptitudes and competency in expanding execution of the representatives. Zheng et al. [20] studied innovative HRM practices in China stimulating to academia and management practitioners. As per this examination, around 30 years’ financial change in China had driven numerous adjustments in administration rehearses at the venture level, including HR practices like training and development, empowerment and teamwork in the form of trade union. Dimba and K‘Obonyo [9] examined connected key strategic human resource practices, cultural orientations, employee motivation and firm performance in foreign manufacturing multinational companies (MNCs) in Kenya. One of the destinations of this investigation was to build up the connection between SHRM practices and firm performance. The findings of the study indicated that all the variables of SHRM practices, except recruitment and hiring, were positively and significantly correlated with performance of the firm. Altinay et al. [3] operationalized HRM rehearses as far as employee training, since it encourages worker learning and prompts better administration quality and consumer loyalty [14] [16] and empowerment, since assignment of obligations prompts more noteworthy worker responsibility and productivity, and in this way to expanded development [15]. Ahmad and Schroeder [1] examined the impacts of specific contracting, work security, decentralization and utilization of teams, motivating force and pay, broad preparing, status contrasts, and data sharing on organizational performance (quality, cost, adaptability, conveyance and duty). Wasim et al. [19] studied the degree of correlation between HRM practices and innovation culture and the degree of the impact of each HRM practice on the innovation culture from Bank of Palestine (BoP). The results of the study are positively correlated between HRM practices and innovation culture. Jouda [2] in their article examines the impact of human resource management practices (HRMPs) on employee’s performance at Islamic University of Gaza (IUG) in Palestine. The discoveries of this exploration think about have revealed that HRMPs (recruitment and selection, training and development, compensation and incentives, performance appraisal) are positively related to employee’s performance. Suriati et al. [18] in their investigation found out the relationship between innovation and employee performance at Tenaga Nasional Berhad (TNB), a utility company in Malaysia. Three types of innovations (product, process, technological and organizational) were found to influence employee performance with the exception of attitude.
3. OBJECTIVES OF THE STUDY
- To understand the role of strategic human resource practices related avenues on innovation and employee performance with special reference to teaching fraternity in higher learning institutes
- To verify the mediating role of innovation between strategic human resources practices and employee performance with reference to teachers in higher educational institutes
3.1 HYPOTHESES
- There is a direct impact of selected strategic human resource practices on innovation
- There is an indirect influence on strategic human resource practices on employee performance at organization
- There is a direct effect of innovation on employee performance at organization
- There is a significant mediating role of innovation between selected SHRM practices and employee performance at organization.
4. SCOPE OF THE STUDY
The present study covers the population of faculty members from the background of Assistant Professor, Associate Professor and Professor cadres. The aspects of selected SHRM practices considered only the avenues of training, empowerment and team work. The study attempted to view the influence of SHRM practices on innovation and employee performance at organization. In addition to this, the study also focuses on the mediating role of innovation on employee performance at organization based on the source of selected SHRM practices.
5. RESEARCH METHODOLOGY
The purpose of the study is to investigate the influence of human resource practices and its related avenues on knowledge innovation and employee performance among the teachers in higher education institutes. The human resource management practices were measured using team involvement, empowerment and training [21]. Workplace innovation was measured through teaching pedagogy, novel efforts made while teaching and so on. The employee performance is measured through their contribution for academics, research and extension. In order to ascertain the above said objective of the study and test the relevant hypotheses, the researcher selected higher educational institute for the study. The teachers, who are working in higher educational institutes scrambled to various branches like engineering, management, humanities, natural science and arts were chosen as study population. The targeted study population was initially interviewed on judgmental basis in order to understand their views on the framed study topics. Depending on their views and opinion, it was decided to further probe the study with the selected conceptual background. The sampling frame was located based on the available information through web sources and accessible institutional sources. The study was restricted only with selected educational institutes in terms of its visibility, availability of reasonable teachers with sufficient experience and courses offered. Among the target population, the teachers with the background of different age group, sex background, designation and experience were chosen as sampling unit. In order to fix the sample size, initially a compact instrumental questionnaire was prepared which comprised question about the view of influence of innovative teaching practices and support institution with dichotomous scale (yes or no). The responses were obtained around 65 teachers. Based on their responses, it was observed that 65% viewed innovation and human resource practices (selected constructs) got strong correlation and 35% disagreed for the same. Subsequently, the following formula was employed to estimate the sample size through proportion.
The predetermined sample size of 350 was approached through convenience method through personal interview, questionnaire mailing through mail and interview schedule. There were around 385 structured questionnaires were distributed by keeping the margin error of not getting response (5%). Out of distributed questionnaire through physical and digital sources after collecting 365 responses, the poor responses were removed and finally 350 correct responses were taken for further study purpose. The background of questionnaire comprised questions about the personal and professional background of respondents with nominal scale. The questions covering the aspects of human resource practices under the purview of teamwork, training, empowerment, SHRM practices, innovative teaching and workplace performance were framed with statement of questions and which were measured through strongly disagree (1), agree (2), neutral (3), agree (4) and strongly agree (5) scale. The obtained final responses were verified for data cleaning and missing value analysis. Subsequently, the test of normality was done through descriptive statistics where in which the skewness (>3) and kurtosis (>7) were measured for normality. The scale of reliability was measured for the items for measurement related to the constructs of SHRM practices (4 items), team work (6 items), training (5 items), teaching innovation (4 items) and performance (5 items). The Cronbach value of 0.782 was obtained for all the items. Consecutively, all the items with reliability were taken for further model testing.
5.1 MEASURES
The motivation behind the unwavering quality testing was to inspect the properties of estimation scales and the things with a specific end goal to acquire the general list of inward consistency of the scales [12]. Cronbach's alpha is the most well-known measure of inner consistency (“reliability”). It is most normally utilized when numerous Likert questions are utilized as a part of the overview survey that structures a scale, and to decide whether the scale is solid. SEM, a mix of factual methods including factor examination, relapse, and way investigation, was utilized on account of its particular limit in assessing mistake changes from convoluted estimation segments and their structures, perfect for hypothesis testing and advancement overall. SEM was utilized to test the estimation and an auxiliary model of all conjectured relations among develops. The causal connections among the builds would be controlled by the theory testing by utilizing SEM. Assessment for integrity of-attack of the conjectured display included looking at the accompanying criteria: Total Fit Estimation, Incremental Fit Estimation, and Niggardly Fit Estimation. The speculated display involving four exogenous factors (Training Strategy, Empowerment Strategy, and Team Strategy) and two endogenous factors (Teaching Innovation and Employee Performance) was tried by Structural Equation Modeling [17] utilizing AMOS 17.
6. RESULTS AND DISCUSSIONS
The Table.1 shows the demographic background of the respondents selected for the study from educational sector from the background of engineering, arts, science and management. Regarding the age background, 41.1% are in the age group of 31 - 35, 62.3% of the respondents are female compare to 37.7% of male. 37.4% of the respondents have education qualification like NET/SLET, M.Phil and Ph.D 41.7% of the respondents experience are between 6 and 10 years.
6.1 STRUCTURAL EQUATION MODEL
As a series of interrelationship (between selected Strategic HR practices, Industry Innovation and Employee performance) were to be explored and tested, SEM was treated as an appropriate data analysis tool. In connection to that, the primary research objective was to identify the role of strategic human resource practices and its avenues towards innovation on employee performance at organization. As indicated by Hair et al. [12] SEM is an appropriate measurable procedure for building up and understanding the kind of connection between exogenous and endogenous constructs.
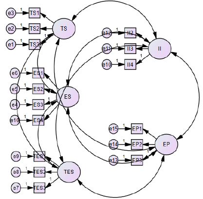
6.2 MEASUREMENT MODEL
The measurement model shown in Fig.2 comprises of five factors. Each factor is measured by a minimum of three to four observed variables, the reliability of which is influenced by random measurement error, as indicated by the associated error term. Each of these observed variables is regressed into its respective factor. Finally all the five factors are shown to be inter-correlated.
Note: TS-Training Strategy, ES-Empowerment Strategy, TES-Team Strategy, II-Industry Innovation and EP-Employee Performance.
6.3 COMPUTATION OF DEGREES OF FREEDOM
The proposed model in this study is an over-identified model with positive degrees of freedom (94) as shown in Table.3 drawn from the AMOS output. In this model there are 136 distinct sample moments (i.e., pieces of information) from which to compute the estimates of the default model, and 42 distinct parameters to be estimated, leaving 94 degrees of freedom, which is positive (greater than zero). Hence the model is an over identified one.
Goodness of Fit attributes (GFI) obtained is 0.935 as against the recommended value of above 0.90. Adjusted Goodness of Fit attributes (AGFI) obtained is 0.906 as against the recommended value of above 0.80. The Normed fit Attributes (NFI), Relative Fit attributes (RFI)and Comparative Fit attributes (CFI), Tucker Lewis Attributes (TLI) are 0.947, 0.905, 0.912 and 0.907 respectively as against the recommended level of above 0.90. RMSEA is 0.056 below the recommended limit of 0.08, and Root Mean Square Residual (RMR) is also below the recommended limit of 0.05 at 0.01. This can be interpreted as meaning that the model explains the correlation to within an average error of 0.041 [17]. Hence the model shows an overall acceptable fit. The model is an over identified model. The confirmatory factor analysis showed an acceptable overall model fit and hence, the theorized model fit well with the observed data. It can be concluded that the hypothesized five factor CFA model fits the sample data very well.
6.3.1 Structural Equation Modeling:
In SEM Exogenous are correlated each other. There are three exogenous variable namely parking facility, traffic flow, and accessibility. There are two endogenous variables in the path diagram namely consumer patronage and brand image. In SEM Endogenous variable should have error terms. So there are two error terms namely e23 and e24. Endogenous variable are influenced by the exogenous variables in the model, either directly or indirectly.
6.3.2 Analysis of Structural Model:
Note: TS-Training Strategy, ES-Empowerment Strategy, TES-Team Strategy, II-Industry Innovation and EP-Employee Performance
The results of the theoretical structural model indicated that the chi-square of 253 with 199 degree of freedom was statistically significant at p < 0.05, indicating an inappropriate fit. However, it has been stated that the chi square is highly sensitive to sample size and usually suggests a poor fit with large sample sizes (Becker et.al, 2013). Other fit statistics were within the acceptable values (χ²/Df = 2.219, GFI = 0.902, AGFI = 0.876, NFI = 0.929, CFI = 0.961, TLI = 0.954, RFI = 0.918, RMSEA = 0.057). Overall, the fit statistics indicates a high fit between the data and the theoretical model.
6.3.3 Path diagram for the Theoretical Model:
Note: TS- Training Strategy, ES-Empowerment Strategy, TES-Team Strategy, II-Industry Innovation and EP-Employee Performance.
7. CONCLUSION
Human resource management has become a challenging task in present day organizational climate. It is applicable to all sectors irrespective its business nature. In this connection, higher education sector in India has become most competitive and it requires re-engineered service strategies to match its performance and market expectation. The teaching fraternity is the core feeding sources in this industry and the typical human resource practices can bring forth their ability and innovation in pedagogy, delivery and students excellence. The refined and frequent adaptable human resource practices especially on training system, empowerment scope, team work culture and retention activities can have an impact on their innovative delivery process and subsequently affect their level of performance. The magnitude of performance will have an impact of student’s achievement and social upliftment. The outcome of present study shows that tailor made and well tested human resource management practices adopted by educational institution will definitely bring innovative teaching practices and subsequently have an impact on employee performance.
REFERENCES
[1] S. Ahmad and R.G. Schroeder, “The Impact of Human Resource Management Practices on Operational Performance: Recognizing Country and Industry Differences”. Journal of Operations Management, Vol. 21, No. 1, pp. 1-19, 2003.
[2] Akram Ali Jouda, Ungku Norulkamar Ungku Ahmad and Khalid Abed Dahleez, “The Impact of Human Resource Management Practices on Employees Performance: The Case of Islamic University of Gaza in Palestine”, International Review of Management and Marketing, Vol. 6, No. 4, pp. 1080-1088, 2016.
[3] Levent Altinay, Eser Altinay and Judie Gannon, “Exploring the Relationship between the Human Resource Management Practices and Growth in Small Service Firms”, The Service Industries Journal, Vol. 28, No. 7, pp. 919-937, 2008.
[4] J.M. Becker, A. Rai and E.E. Rigdon, “Predictive Validity and Formative Measurement in Structural Equation Modeling: Embracing Practical Relevance”, Proceedings of International Conference on Information Systems, pp. 32-39, 2013.
[5] K. Birdi, et al., “The Impact of Human Resource and Operational Management Practices on Company Productivity: a Longitudinal Study”, Personnel Psychology, Vol. 61, No. 1, pp. 467-501, 2008.
[6] W.J. Chang and T. Huang, “Relationship between Strategic Human Resource Management and Firm Performance: A Contingency Perspective”, International Journal of Manpower, Vol. 26, No. 5, pp. 434-449, 2005.
[7] G. Conti, “Training, Productivity and Wages in Italy”, Labour Economics, Vol. 12, No. 4, pp. 557-576, 2005.
[8] J.T. Delaney and M.A. Huselid, “The Impact of Human Resource Management Practices on Perceptions of Organizational Performance”, Academy of Management Journal, Vol. 39, No. 4, pp. 949-969, 1996.
[9] B. Dimba and P. Kobonyo, “The Effect of Strategic Human Resource Management Practices on Performance of Manufacturing Multinational Companies in Kenya: Moderating Role of Employee Cultural Orientations and Mediating Role of Employee Motivation”, Proceedings of International Conference on Human Capital Management, pp. 1-7, 2009.
[10] G. Demo, E.R. Neiva, I. Nunes and K. Rozzett, “Human Resources Management Policies and Practices Scale (HRMPPS): Exploratory and Confirmatory Factor Analysis”, Brazilian Administration Review, Vol. 9, No. 4, pp. 395-420, 2012.
[11] J. Evermann and M. Tate, “Assessing the Predictive Performance of Structural Equation Model Estimators”, Journal of Business Research, Vol. 69, No. 10, pp. 4565-4582, 2016.
[12] J.F. Hair, W.C. Black, B.J. Babin and R.E. Anderson, “Multivariate Data Analysis”, 7th Edition, Prentice Hall, 2010.
[13] L.T. Hu and P.M. Bentler, “Fit Indices in Covariance Structure Modeling: Sensitivity to Underparameterized Model Misspecification”, Psychological Methods, Vol. 3, No. 4, pp. 424-453, 1998.
[14] M.S. Jameson, “Recruitment and Training in Small Firms”, Journal of European Industrial Training, Vol. 24, No. 1, pp. 43-49, 2000.
[15] C. Lashley, “Empowerment through Involvement: A Case Study of TGI Fridays Restaurants”, Personnel Review, Vol. 29, No. 6, pp. 791-815, 2000.
[16] M. Ram, et al., “Training and Ethnic Minority Firms: The Case of the Independent Restaurant Sector”, Education and Training, Vol. 42, No. 4-5, pp. 334-343, 2000.
[17] R. Shah and S.M. Goldstein, “Use of Structural Equation Modeling in Operations Management Research: Looking Back and Forward”, Journal of Operations Management, Vol. 24, No. 2, pp. 148-169, 2006.
[18] Suriati Osman, Siti Halijjah Shariff and Mohamad Nor Azali Lajin, “Does Innovation Contribute to Employee Performance?”, Procedia-Social and Behavioral Sciences, Vol. 219, pp. 571-579, 2016.
[19] Wasim I. Al-Habil, Lina A. El-Halimi and Basma M. El-Ghazali, “The Impact of Human Resource Management Practices in Innovation Culture Case Study: Bank of Palestine in Gaza Strip”, Journal of Business Management and Economics, Vol. 8, No. 1, pp. 1-17, 2017.
[20] C. Zheng, et al., “Enhancing Chinese SMEs Performance through Innovative HR Practices”, Personnel Review, Vol. 38, No. 2, pp. 175-194, 2009.
[21] Lewis J.W. Lim, “Human Resource Practices of Contractors that Lead to Job Satisfaction of Professional Staff”, Engineering, Construction and Architectural Management, Vol. 19, No. 1, pp. 101-118, 2012.








